Patrones de tratamiento y resultados del mundo real en pacientes con diagnóstico reciente de leucemia mieloide aguda que no son aptos para la quimioterapia intensiva: subanálisis de los datos del estudio CURRENT en Argentina
Real-world treatment patterns and outcomes in patients with newly diagnosed acute myeloid leukemia unfit for intensive chemotherapy: subanalysis of CURRENT study data from Argentina
Giménez Conca A1*, Cranco S2, Enrico Mattos A3, Mela Osorio MJ4, Antico Arciuch V5
1Hospital Italiano de Buenos Aires, Ciudad Autónoma de Buenos Aires, Argentina
2Instituto Alexander Fleming, Ciudad Autónoma de Buenos Aires, Argentina
3Hospital Italiano de La Plata, La Plata, Buenos Aires, Argentina
4FUNDALEU, Ciudad Autónoma de Buenos Aires, Argentina
5AbbVie Argentina, Ciudad Autónoma de Buenos Aires, Argentina
ORCID:
|
Alberto Daniel Giménez Conca |
0000-0002-3067-1126 |
|
Santiago Cranco |
0009-0007-7728-2893 |
|
Alicia Enrico |
0000-0002-1983-6145 |
|
María José Mela Osorio |
0000-0002-1871-5798 |
|
Valeria Antico |
0000-0002-3365-134X |
alberto.gimenez@hospitalitaliano.org.ar
Palabras claves: leucemia mieloide aguda,
estudio CURRENT,
Argentina,
evidencia del mundo real.
Keywords: acute myeloid leukemia,
CURRENT study,
Argentina,
real-world evidence.
Resumen
Introducción: históricamente, antes de la aprobación de venetoclax, los pacientes con leucemia mieloide aguda no aptos para los esquemas de quimioterapia intensiva eran tratados con agentes hipometilantes (AHM), dosis bajas de citarabina (DBC) o el mejor tratamiento de soporte (BSC). Material y métodos: para describir los patrones de tratamiento y los resultados clínicos en el mundo real, realizamos un subanálisis con 77 pacientes de Argentina que participaron en el estudio global CURRENT y comenzaron el tratamiento entre 2015 y 2018 (antes de la aprobación de venetoclax; fecha de cierre de datos: 31/3/2020). Resultados: la mediana de edad al diagnóstico fue de 75 años. La proporción de pacientes que recibieron BSC solo fue más alta en comparación con los datos globales. La proporción relativa de pacientes con citogenética de alto riesgo fue similar entre aquéllos que recibían terapias de primera línea o BSC solo; se identificaron mutaciones en el 9,4 % de los pacientes que recibían terapias de primera línea. La mediana de la sobrevida global fue de 7,36 meses para el subgrupo argentino vs. 6,2 meses para la cohorte global. La mediana de la sobrevida libre de progresión fue de 6,31 (cohorte total), 8,05 (AHM) y 1,02 (BSC solo) meses. Conclusión: los resultados de los pacientes no aptos continúan siendo desfavorables, lo que reafirma la necesidad insatisfecha de nuevas terapias y esquemas combinados.
Abstract
Introduction: patients with acute myeloid leukemia unfit for intensive chemotherapy were historically treated with hypomethylating agents (HMA), low-dose cytarabine (LDAC) or best supportive care (BSC) before venetoclax approval. Materials and methods: to describe real-world treatment patterns and clinical outcomes, we performed a subanalysis of 77 patients from Argentina who participated in the worldwide CURRENT study, initiating treatment between 2015 and 2018 (before venetoclax approval; cutoff: 3/31/2020). Results: median age at diagnosis was 75 years. Proportion of BSC-only patients was higher, compared with global data. Relative proportion of patients with high-risk cytogenetics was similar in those receiving first-line therapies or BSC-only; mutations were found in 9.4% of those patients receiving first-line therapies. Median overall survival was 7.36 months for the Argentinean subset vs. 6.2 months for the global cohort. Median progression-free survival was 6.31 (total cohort), 8.05 (HMA), and 1.02 (BSC-only) months. Conclusion: outcomes for unfit patients remain poor, highlighting the unmet need for new therapies and combined regimens.
Introducción
La leucemia mieloide aguda (LMA) suele afectar a la población añosa, con una mediana de edad al momento del diagnóstico de 67 años y una esperanza de vida considerablemente menor(1,2). La LMA es la causa de alrededor de un tercio de todas las muertes por leucemia(1). La tasa de mortalidad informada es más elevada en los pacientes con LMA mayores de 65 años en comparación con los sujetos más jóvenes(2). Las comorbilidades, la tolerabilidad inadecuada a la quimioterapia intensiva, la disfunción orgánica, un estado funcional (PS) bajo y la biología tumoral son algunos de los factores que se relacionan con desenlaces desfavorables. Estos factores impactan en la elección del tratamiento y, en gran medida, afectan la evolución de la enfermedad(2).
La quimioterapia intensiva de inducción y la terapia posterior a la remisión son el estándar de atención para pacientes jóvenes con LMA. Al momento de la recolección de datos para el presente estudio, la mayoría de los pacientes no aptos para esta estrategia recibían agentes hipometilantes (AHM), dosis bajas de citarabina (DBC) o el mejor tratamiento de soporte (best supportive care, BSC)(3,4). Se informó que la mediana de la sobrevida global (SG) en los pacientes con LMA ≥65 años era de 10,4 meses para AHM, 6,5 meses para DBC y 3,7 meses para BSC solo(5).
En América Latina, los pacientes con cáncer se enfrentan a múltiples desafíos específicos que obstaculizan el tratamiento, tales como los factores socioeconómicos, la fragmentación de los servicios de salud y el acceso a dichos servicios(6). Por lo tanto, es fundamental comprender mejor las vías de tratamiento actuales para la LMA, considerando la introducción de nuevas opciones terapéuticas. En este contexto, presentamos un análisis de los datos de los participantes argentinos del estudio Real-World Treatment Patterns and Clinical Outcomes in Unfit AML Patients Receiving First Line Systemic Treatment or Best Supportive Care (CURRENT)(7), cuyo objetivo es evaluar la SG y los resultados clínicos del mundo real en pacientes con LMA que no son aptos para la quimioterapia intensiva y que reciben terapia de primera línea o BSC.
Materiales y métodos
Características del estudio CURRENT
Presentamos un análisis de los datos de los pacientes argentinos del estudio CURRENT, una revisión retrospectiva y de no intervención de las historias clínicas, en la que se obtuvieron datos de los pacientes que habían iniciado tratamiento entre enero de 2015 y diciembre de 2018 en 112 centros de todo el mundo, incluidos cuatro centros participantes de Argentina. En resumen, en el estudio CURRENT se recolectaron los datos de la SG, las características clínicas y patológicas, y los esquemas de tratamiento de los pacientes con LMA considerados como no aptos para la quimioterapia intensiva y tratados con AHM, DBC o BSC(7). El seguimiento se realizó hasta el último contacto registrado o la muerte, y la recolección de datos se llevó a cabo de forma anónima.
Los criterios de inclusión principales fueron edad ≥18 años, diagnóstico de LMA primaria o secundaria e inelegibilidad para la terapia de inducción intensiva, definida según la edad, el estado funcional del Eastern Cooperative Oncology Group (ECOG), las comorbilidades, las guías locales o la práctica institucional. Los criterios de exclusión principales fueron un diagnóstico de LMA no confirmado, la presencia de leucemia promielocítica aguda y la administración de terapia de primera línea en un estudio clínico.
Criterios de valoración
El criterio de valoración primario del estudio CURRENT fue la SG desde el diagnóstico en pacientes con LMA. Los criterios de valoración secundarios incluyeron la sobrevida libre de progresión (SLP), las tasas de respuesta completa (RC), la RC con recuperación hematológica incompleta [RCi]) y el tiempo hasta el fracaso del tratamiento (TFT).
Análisis estadístico
Se llevó a cabo un análisis estadístico descriptivo de las variables numéricas según las medidas de tendencia central y dispersión, y de las variables categóricas en términos de frecuencia relativa y absoluta. Se realizaron comparaciones entre los datos globales y locales. El método de Kaplan-Meier fue utilizado para estimar el tiempo transcurrido hasta la medición de los resultados. La fecha de cierre de datos para este análisis fue el 31 de marzo de 2020.
Resultados
Datos demográficos y de LMA
Los datos globales de CURRENT incluyeron a 1762 pacientes, de los cuales 1310 tenían datos disponibles de la terapia de primera línea(7). Se recolectaron los datos de 77 pacientes de Argentina. La mediana de edad del subgrupo argentino fue de 75 años (rango, 54-88 años). En la Tabla 1 se detallan los principales datos demográficos. En la Tabla 2 se incluyen las características de la LMA. En los subgrupos que recibieron terapia de primera línea (68,8%) y BSC solo (31,2%), la mediana de edad al diagnóstico fue de 74 y 75 años, respectivamente, lo que se asemeja considerablemente a los datos de la cohorte global. La proporción de pacientes que recibieron BSC solo fue mayor en comparación con los datos globales (25,6%). Las probabilidades de un PS ECOG ≤1 fueron mayores entre los pacientes que recibían terapia de primera línea que en los pacientes que recibían BSC solo (32,1% vs. 4,2%, respectivamente).
Tabla 1. Características demográficas de los pacientes argentinos del estudio CURRENT
|
|
Terapia de primera línea (n = 53) |
BSC (n = 24) |
||
|
Variable |
n (%) |
IC 95% |
n (%) |
IC 95% |
|
Sexo |
||||
|
Hombre |
29 (54,7) |
40,4–68,4 |
12 (50,0) |
29,1–70,9 |
|
Mujer |
24 (45,3) |
31,6–59,6 |
12 (50,0) |
29,1–70,9 |
|
Edad al diagnóstico, años |
||||
|
≤75 |
28 (52,8) |
36,6–66,7 |
13 (54,2) |
32,8–74,4 |
|
>75 |
25 (47,2) |
33,3–61,4 |
11 (45,8) |
25,6–67,2 |
|
Mediana (rango)a |
74 (54-87) |
- |
75 (65-88) |
- |
|
Estado funcional ECOG |
||||
|
0 |
3 (5,7) |
1,2–15,7 |
0 (0,0) |
– |
|
1 |
14 (26,4) |
15,3–40,3 |
1 (4,2) |
0,0–21,1 |
|
2 |
17 (32,1) |
19,9–46,3 |
5 (20,8) |
7,1–42,2 |
|
3 |
12 (22,6) |
12,3–36,2 |
12 (50,0) |
29,1–70,9 |
|
4 |
2 (3,8) |
0,0–13,0 |
6 (25,0) |
9,8–46,7 |
|
Desconocido |
5 (9,4) |
– |
0 (0,0) |
– |
|
Comorbilidadesb |
||||
|
Infarto de miocardio |
4 (7,5) |
2,1–18,2 |
2 (8,3) |
1,0–27,0 |
|
Enfermedad coronaria |
3 (5,7) |
1,2–15,7 |
7 (29,2) |
12,8–51,1 |
|
Insuficiencia cardíaca |
9 (17,0) |
8,1–29,8 |
6 (25,0) |
9,8–46,7 |
|
Arritmias |
4 (7,5) |
2,1–18,2 |
3 (12,5) |
2,7–32,4 |
|
Enfermedad pulmonar restrictiva o EPOC |
7 (13,2) |
5,5–25,3 |
5 (20,8) |
7,1–42,2 |
|
Transaminasas elevadas |
0 (0,0) |
– |
1 (4,2) |
0,0–21,1 |
|
ERC estadio ≥3 |
1 (1,9) |
0,0–10,1 |
0 |
– |
|
Otro |
23 (43,4) |
29,8–57,7 |
10 (41,7) |
22,1–63,4 |
|
Desconocido |
10 (18,9) |
– |
0 (0,0) |
– |
|
Ninguno |
9 (17,0) |
8,1–29,8 |
0 (0,0) |
– |
a Se excluye a los pacientes de 90 años o más, ya que su edad no fue especificada durante la recolección de datos debido a que se consideró que eran datos identificables.
b Es posible que los porcentajes sumen más de 100%, ya que se permitió la selección múltiple.
BSC = mejor tratamiento de soporte; ECOG = Eastern Cooperative Oncology Group; EPOC = enfermedad pulmonar obstructiva crónica; ERC = enfermedad renal crónica.
Tabla 2. Datos histológicos de la LMA de los pacientes argentinos del estudio CURRENT
|
Tipo de LMA |
Terapia de primera línea (n = 53) |
BSC (n = 24) |
||
|
n (%) |
IC 95% |
n (%) |
IC 95% |
|
|
Tipo de LMA según la FAB |
||||
|
LMA indiferenciada M0 |
1 (1,9) |
0,0–10,1 |
3 (12,5) |
2,7–32,4 |
|
LMA sin maduración M1 |
10 (18,9) |
9,4–32,0 |
4 (16,7) |
4,7–37,4 |
|
LMA con maduración M2 |
8 (15,1) |
6,7–27,8 |
2 (8,3) |
1,0–27,0 |
|
LMM aguda M4 |
6 (11,3) |
4,3–23,0 |
2 (8,3) |
1,0–27,0 |
|
LMoA M5 |
8 (15,1) |
6,7–27,6 |
6 (25,0) |
9,8–46,7 |
|
Leucemia megacariocítica aguda M6 |
1 (1,9) |
0,0–10,1 |
0 (0,0) |
– |
|
Desconocido |
19 (35,8) |
– |
7 (29,2) |
– |
|
Tipo de LMA según la OMS 2016 |
||||
|
Con anomalías genéticas recurrentesa |
1 (1,9) |
0,0–10,1 |
0 |
– |
|
Con mutación en NPM1 |
1 (100) |
2,5–100,0 |
0 |
– |
|
Con cambios relacionados con mielodisplasia |
18 (34,0) |
21,5–48,3 |
8 (33,3) |
15,6–55,3 |
|
Neoplasia mieloide relacionada con la terapia |
1 (1,9) |
0,0–10,1 |
0 (0,0) |
– |
|
LMA no especificada |
13 (24,5) |
13,8–38,3 |
7 (29,2) |
12,6–51,1 |
|
Desconocido |
20 (37,7) |
– |
9 (37,5) |
– |
|
LMA secundaria |
||||
|
Sía |
24 (45,3) |
31,6–59,6 |
12 (50,0) |
29,1–70,9 |
|
No |
25 (47,2) |
33,3–61,4 |
9 (37,5) |
18,8–59,4 |
|
Desconocido |
4 (7,5) |
– |
3 (12,5) |
– |
|
Tipo de LMA secundariab |
|
|
|
|
|
SMD |
16 (66,7) |
44,7–84,4 |
11 (91,7) |
61,5–99,8 |
|
Terapia previa con DBC para SMD |
|
|
|
|
|
No |
16 (100,0) |
79,4–100,0 |
10 (90,9) |
58,7–99,8 |
|
Desconocido |
0 (0,0) |
– |
1 (9,1) |
– |
|
LMM crónica |
2 (8,3) |
1,0–27,0 |
0 (0,0) |
– |
|
Neoplasias mieloproliferativas |
5 (20,8) |
7,1–42,2 |
0 (0,0) |
– |
|
LMA relacionada con la terapia |
1 (4,2) |
0,0–21,1 |
1 (8,3) |
0,2–38,5 |
|
Uso previo de AHMb |
|
|
|
|
|
Sí |
4 (16,7) |
4,7–37,4 |
3 (25,0) |
5,5–57,2 |
|
No |
20 (83,3) |
62,6–95,3 |
8 (66,7) |
34,9–90,1 |
|
Desconocido |
0 (0,0) |
– |
1 (8,3) |
– |
AHM = agentes hipometilantes; BSC = mejor tratamiento de soporte; DBC = dosis bajas de citarabina; FAB = Clasificación francesa-americana-británica; LMA = leucemia mieloide aguda; LMB: leucemia mieloblástica; LMM: leucemia mielomonocítica; LMoA: leucemia monocítica aguda; NPM1 = gen de la nucleofosmina 1; OMS = Organización Mundial de la Salud; SMD = síndromes mielodisplásicos.
a Número usado como denominador para las siguientes subcategorías.
b El denominador es el número de pacientes con LMA secundaria.
Los datos del perfil molecular estaban disponibles en 42 (79,2%) pacientes tratados con terapia de primera línea y 20 (83,3%) pacientes tratados con BSC solo. La proporción relativa de pacientes con citogenética de alto riesgo fue similar en ambos subgrupos; no obstante, se hallaron mutaciones en el 9,4% de los pacientes que recibían terapia de primera línea, mientras que casi la totalidad de los pacientes del subgrupo que recibió BSC solo no habían sido estudiados para mutaciones. La mayoría de los pacientes no tenían datos disponibles sobre mutaciones (Tabla 3).
Tabla 3. Datos citogenéticos de los pacientes argentinos del estudio CURRENT
|
Datos citogenéticos |
Terapia de primera línea (n = 53) |
BSC (n = 24) |
|||
|
n (%) |
IC 95% |
n (%) |
IC 95% |
||
|
Nivel de riesgo |
|||||
|
Favorable |
2 (3,8) |
0,0–13,0 |
1 (4,2) |
0,0–21,1 |
|
|
Intermedio |
28 (52,8) |
38,6–66,7 |
14 (58,3) |
36,6–77,9 |
|
|
Desfavorable |
12 (22,6) |
12,3–36,2 |
5 (20,8) |
7,1–42,2 |
|
|
Desconocido |
11 (20,8) |
– |
4 (16,7) |
– |
|
|
Mutacióna |
|||||
|
Cualquierab |
5 (9,4) |
3,1–20,7 |
0 (0,0) |
– |
|
|
FLT3ITD b |
4 (80,0) |
28,4–99,5 |
0 (0,0) |
– |
|
|
Desconocido |
4 (80,0) |
– |
0 (0,0) |
– |
|
|
JAK2 |
1 (20,0) |
0,5–71,6 |
0 |
– |
|
|
NPM1 |
1 (20,0) |
0,5–71,6 |
0 |
– |
|
|
Ninguno |
18 (34,0) |
21,5–48,3 |
12 (50,0) |
29,1–70,9 |
|
|
Desconocido |
30 (56,6) |
– |
12 (50,0) |
– |
|
BSC = mejor tratamiento de soporte; JAK2 = quinasa Janus 2; NPM1 = gen de la nucleofosmina 1.
a Es posible que los porcentajes sumen más de 100%, ya que se permitió la selección múltiple.
b Número utilizado como denominador para las siguientes subcategorías.
Criterio de valoración primario
La mediana de SG en la cohorte argentina fue de 7,36 meses (IC 95%, 3,6–11,1; estimación de Kaplan-Meier), ligeramente mayor que la mediana de 6,2 meses (IC 95%, 5,7-7,0) en la cohorte global. En los pacientes con LMA que recibían terapia de primera línea, la SG (IC 95%) fue de 11,18 meses (8,7-12,9) con los AHM (n = 47), 14,43 meses (1,3-21,0) con otras terapias (n = 6) y 1,89 meses (1,0-3,1) con BSC solo (n = 24) (p < 0,001 para BSC vs AHM y los restantes tratamientos, prueba de log-rank). Las otras terapias incluían régimen combinado con citarabina, aclarubicina y factor estimulante de colonias de granulocitos, gemtuzumab ozogamicina, inhibidores de FLT3, enocitabina o venetoclax. En la Figura 1 se encuentran detalladas las comparaciones con la cohorte global.

Leyenda de la Figura 1.
Figura 1. Comparación de las medianas de SG según el tratamiento. Los datos están expresados en meses. AHM = agente hipometilante; BSC = mejor tratamiento de soporte.
Criterios de valoración secundarios
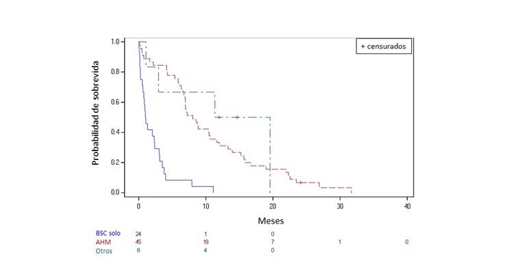
En Argentina, la mediana (IC 95%) de SLP desde el diagnóstico de la LMA fue de 6,31 meses (3,5-7,2); cuando se estratificó según el tratamiento, la mediana de SLP fue de 8,05 meses (6,7-10,6) en los pacientes tratados con AHM (n = 47), 15,45 meses (1,1-19,6) en los pacientes que recibieron otra terapia de primera línea (n = 6) y 1,02 meses (0,5-2,4) en los pacientes que recibieron BSC solo (p < 0,001 para BSC vs AHM y los restantes tratamientos, prueba de log-rank). En la Figura 2 se muestran las curvas de Kaplan-Meier.

Leyenda de la Figura 2.
Figura 2. Curvas de Kaplan-Meier para la SLP (meses), estratificadas por tratamiento de primera línea. AHM = agente hipometilante; BSC = mejor tratamiento de soporte.
La mediana del TFT (IC 95%) fue de 7,07 meses (5,4-11,3), 14,81 meses (1,0-18,7) y 1,64 meses (1,0-2,4) en los pacientes que recibían AHM (n = 47), otras terapias sistémicas (n = 6) o BSC solo (n = 24), respectivamente (p < 0,001 para BSC vs AHM y los restantes tratamientos, prueba de log-rank). El 26,4% de los pacientes que recibieron terapia de primera línea alcanzaron una RC o RCi similar a la tasa global del 21%. La mediana (rango) del tiempo hasta la mejor respuesta en la cohorte argentina que recibía terapia de primera línea fue de 134,5 días (0–700,0). La mediana (rango) de la duración de la respuesta (RC, RCi) fue de 271,0 días (87,0–642,0) para la cohorte local.
Cincuenta y tres pacientes (68,8% [IC 95%, 57,3%-78,9%]) recibieron una terapia de primera línea, que consistía principalmente en azacitidina (90,6%), decitabina (5,7%) e inhibidores de FLT3 (3,8%). En el 1,9% de los pacientes se indicaron esquemas de combinación. Al momento del cierre de datos, se había administrado una mediana de 7,5 ciclos de tratamiento (rango, 1-30). La mediana del tiempo desde el diagnóstico hasta el inicio del tratamiento fue de 11,5 días (rango, 0-98). Entre los pacientes argentinos que recibieron terapia de primera línea, el 79,2% (IC 95%, 65,9-89,2) debió ser hospitalizado al menos una vez; los motivos principales incluyeron infecciones (55,9%), transfusiones (30,5%), progresión o recaída (28,8%), administración del tratamiento (23,7%) u otros eventos relacionados con LMA (3,4%). La mediana de la duración de la hospitalización fue de 12 días (rango, 3-96).
Veinticuatro pacientes (31,2% [IC 95%, 21,1-42,7]) recibieron BSC solo, que consistía principalmente en transfusiones a demanda (70,8%), analgésicos (41,7%), apoyo nutricional (20,8%) y manejo de infecciones (41,7%). Entre los pacientes que recibieron BSC solo, el 91,7% requirió al menos una hospitalización (IC 95%, 73%-99%); la mayoría de ellos necesitaron una sola hospitalización (95,5%). Los eventos que llevaron a la hospitalización se relacionaron principalmente con recaídas o progresión (64%), infecciones (32%), transfusiones (8%) y la administración del tratamiento (4%). La mediana de la duración de la hospitalización fue de 13 días (rango, 3-64).
Se indicaron antifúngicos en el 18,9% (IC 95%, 9,4–32,0) de los pacientes que recibían terapia de primera línea y en el 8,3% (IC 95%, 1,0–27%) de los participantes que recibían BSC solo. En ambos subgrupos, la indicación principal fue profilaxis (70% y 50%, respectivamente); en la mayoría de los casos, la vía de administración fue oral. Los datos de la duración del tratamiento antifúngico o la profilaxis no estaban disponibles en la mayoría de los pacientes. Se indicaron factores de crecimiento en el 34% de los pacientes que recibían terapia de primera línea, la mayoría como profilaxis, durante una mediana de 4,5 días. En la Tabla 4 se mencionan otros hallazgos relevantes relacionados con el tratamiento.
Tabla 4. Resumen de resultados adicionales
|
Resultados de la terapia |
Terapia de primera línea (n = 53) |
BSC (n = 24) |
||
|
n (%) |
IC 95% |
n (%) |
IC 95% |
|
|
Tratamiento en curso |
|
|
|
|
|
Sí |
3 (5,7) |
1,2–15,7 |
0 (0,0) |
– |
|
No |
50 (94,3) |
84,3–98,8 |
24 (100,0) |
85,8–100,0 |
|
Duración, días |
|
|
||
|
N |
47 |
23 |
||
|
Mediana (rango) |
214 (1-1161) |
50 (3-338) |
||
|
Desconocido, n (%) |
3 (6,0) |
1 (4,2) |
||
|
Causa de discontinuacióna |
|
|
|
|
|
Progresión |
40 (80,0) |
66,3–90,0 |
13 (54,2) |
32,8–74,4 |
|
Toxicidad |
3 (6,0) |
1,3–16,5 |
0 (0,0) |
– |
|
Deterioro del PS |
10 (20,0) |
10,0–33,7 |
4 (16,7) |
4,7–37,4 |
|
Económico/seguro |
0 (0,0) |
– |
1 (4,2) |
0,0–21,1 |
|
Muerte |
10 (20,0) |
10,0–33,7 |
15 (62,5) |
40,6–81,2 |
|
Desconocido |
0 |
– |
1 (4,2) |
– |
|
Fracaso del tratamientob |
|
|
|
|
|
Sí |
50 (94,3) |
84,3–98,8 |
23 (95,8) |
78,9–100,0 |
|
Desconocido |
3 (5,7) |
– |
1 (4,2) |
– |
|
Tiempo hasta el fracaso, días |
|
|
||
|
n |
47 |
23 |
||
|
Mediana (rango) |
214 (0-1161) |
50 (3-338) |
||
|
Desconocido, n (%) |
3 (6,0) |
0 (0,0) |
||
|
Antibióticos o antivirales |
||||
|
Sía |
41 (77,4) |
63,8–87,7 |
15 (62,5) |
40,6–81,2 |
|
Uso como profilaxis |
12 (29,3) |
16,1–45,5 |
2 (13,3) |
1,7–40,5 |
|
Uso curativo |
38 (92,7) |
80,1–98,5 |
14 (93,3) |
68,1–99,8 |
|
Motivo desconocido |
0 (0,0) |
– |
1 (6,7) |
– |
|
Vía de administración |
||||
|
Oral |
19 (46,3) |
30,7–62,6 |
4 (26,7) |
7,8–55,1 |
|
Parenteral |
37 (90,2) |
76,9–97,3 |
13 (86,7) |
59,5–98,3 |
|
Días con antibiótico/antiviral |
||||
|
N |
27 |
13 |
||
|
Mediana (rango) |
15 (3-480) |
7 (3-240) |
||
|
Desconocido, n (%) |
14 (34,1) |
2 (13,3) |
||
|
No |
11 (14,5) |
7,5–24,4 |
9 (25,7) |
12,5–43,3 |
|
Desconocido |
1 (1,3) |
- |
2 (5,7) |
- |
|
Antifúngicos |
||||
|
Sía |
10 (18,9) |
9,4–32,0 |
2 (8,3) |
1,0–27,0 |
|
Uso como profilaxis |
7 (70,0) |
34,8–93,3 |
1 (50,0) |
1,3–98,7 |
|
Uso curativo |
7 (70,0) |
34,8–93,3 |
1 (50,0) |
1,3–98,7 |
|
Vía de administración |
||||
|
Oral |
8 (80,0) |
44,4–97,5 |
1 (50,0) |
1,3–98,7 |
|
Parenteral |
5 (50,0) |
18,7–81,3 |
1 (50,0) |
1,3–98,7 |
|
Días con antifúngico |
||||
|
N |
2 |
– |
2 |
– |
|
Mediana (rango) |
8,5 (7-10) |
– |
122 (4-240) |
– |
|
Desconocido, n (%) |
8 (80,0) |
– |
0 |
– |
|
Factores de crecimiento |
||||
|
Síc |
18 (34,0) |
21,5–48,3 |
3 (12,5) |
2,7–32,4 |
|
Uso como profilaxisa |
15 (83,3) |
58,6–96,4 |
3 (100,0) |
29,2–100,0 |
|
Uso curativoa |
9 (50,0) |
26,0–74,0 |
1 (33,3) |
0,8–90,6 |
|
Vía de administración |
||||
|
Oral |
0 (0,0) |
– |
1 (33,3) |
0,8–90,6 |
|
Parenteral |
18 (100,0) |
81,5–100,0 |
3 (100,0) |
29,2–100,0 |
|
Días con factores de crecimientod |
||||
|
N |
2 |
0 |
||
|
Mediana (rango) |
4,5 (4-5) |
– |
||
|
Desconocido, n (%) |
16 (88,9) |
3 (100,0) |
||
|
No |
35 (66,0) |
51,7–78,5 |
20 (83,3) |
62,5–95,3 |
|
Desconocido |
0 |
– |
1 (4,2) |
– |
a Es posible que los porcentajes sumen más de 100%, ya que se permitió la selección múltiple.
b El fracaso del tratamiento se definió como su discontinuación por razones que incluyen progresión de la enfermedad, muerte, deterioro del estado funcional, toxicidad y decisión del paciente o del médico.
c Número utilizado como denominador para las siguientes subcategorías.
d Los datos representan el total de días con factores de crecimiento durante esta línea de tratamiento, independientemente de si se suspendió y se reanudó el tratamiento una o más veces.
Discusión
En este análisis de los datos argentinos del mundo real pertenecientes al estudio CURRENT, los resultados clínicos de la terapia de primera línea en pacientes con LMA no aptos para la quimioterapia intensiva aún son insatisfactorios. La mediana de la SG fue de 7,36 meses en todo el subgrupo argentino y de 1,89 meses para aquéllos que recibían BSC solo, es decir, ligeramente más baja en comparación con los datos globales de CURRENT(7). La mediana de la SG entre los participantes tratados con AHM fue apenas más alta (11,18 meses) en comparación con los datos globales (9,86 meses). Se reconoce como limitación la imposibilidad de comparar con pruebas estadísticas los resultados de SG locales y globales para una mejor interpretación de estas diferencias.
Si bien los datos disponibles sobre la LMA en América Latina son limitados, nuestros resultados evidenciaron los desenlaces desfavorables y coinciden con los hallazgos de estudios previos realizados en otras regiones. En un estudio del mundo real, retrospectivo, multicéntrico, realizado por Labrador et al, 626 pacientes con LMA fueron tratados con azacitidina o decitabina, y mostraron tasas de respuestas similares en ambos grupos (RC 18% vs. 23%; RC/RCi 20,5% vs. 25%; tasa de respuesta global 32% vs. 39,5%, respectivamente). La mediana de la SG también fue similar en ambos grupos de tratamiento(8).
Es característica la menor proporción de mutaciones de bajo riesgo (por ejemplo, las que involucran al factor de unión nuclear [CBF] y las mutaciones aisladas del gen de la nucleofosmina 1 [NPM1] en pacientes añosos con LMA, a diferencia del aumento en la proporción de mutaciones y cariotipos desfavorables(3). Las comorbilidades, un PS ECOG pobre y los antecedentes de enfermedades hematológicas (especialmente la leucemia relacionada con la quimioterapia), junto con la edad avanzada, se asocian con un peor pronóstico(9). Las guías actuales de Argentina y de la National Comprehensive Cancer Network recomiendan el uso de terapias basadas en venetoclax en sujetos con LMA considerados no aptos para el tratamiento de inducción de la remisión intensivo(9,10), que puede estratificarse dependiendo de la presencia de mutaciones accionables (IDH1, IDH2, FLT3)(3). Se destaca que venetoclax no se encontraba ampliamente disponible cuando se obtuvieron los datos del estudio CURRENT.
El tratamiento de consolidación para los pacientes no aptos se basa en la respuesta a la terapia de inducción (RC/RCi vs. sin respuesta), el PS actualizado, la toxicidad residual eventual y las comorbilidades. En nuestra cohorte argentina, la proporción de casos con un perfil citogenético de riesgo alto fue similar entre los pacientes que recibían terapia de primera línea (22,6%) o BSC solo (20,8%). El 56,6% y 50% de los pacientes, respectivamente, no contaban con datos moleculares, probablemente debido a que se trata de datos procedentes de la práctica clínica real. Esta cuestión impide analizar e interpretar estos resultados en detalle.
Las estrategias de BSC en pacientes con LMA incluyen la administración de hemoderivados, cuando fuera necesario, el uso de factores de crecimiento, cuidados paliativos y la citorreducción con hidroxiurea(3,10). Como se informó en los datos globales de CURRENT, el pronóstico de estos pacientes continúa siendo adverso. La proporción elevada de participantes tratados con BSC en Argentina podría explicarse por factores demográficos, económicos y de acceso a la salud a nivel local.
La profilaxis con azoles durante el tratamiento de inducción en pacientes con LMA ha reducido las tasas de mortalidad y, en la actualidad, es el estándar de atención para aquéllos que reciben esquemas de tratamiento asociados con una mielosupresión prolongada(12). Cabe destacar que, antes de venetoclax, la mayoría de los pacientes de nuestra cohorte no recibían profilaxis con antifúngicos. Los pacientes tratados con terapia de primera línea recibieron estos medicamentos durante una mediana de 8,5 días; sólo dos sujetos del subgrupo de BSC utilizaban antifúngicos, por lo que no fue posible realizar un análisis formal. Es de suma importancia considerar estos datos del mundo real, ya que los azoles inhiben la glicoproteína P y el citocromo P450 3A4, que están involucrados en el metabolismo y el transporte de venetoclax. Estas interacciones farmacocinéticas conforman la base de la recomendación en torno a la reducción significativa de las dosis de venetoclax en pacientes que reciben antifúngicos(12).
En conclusión, de acuerdo con los datos del mundo real del estudio CURRENT, la evolución de los pacientes de Argentina con LMA tratados con terapia de primera línea y no aptos para recibir quimioterapia intensiva continúa siendo desfavorable, con tasas bajas de SG y SLP. Por lo tanto, destacamos la gran necesidad insatisfecha de nuevas terapias y esquemas combinados para pacientes con LMA.
Todas las personas autoras han efectuado una contribución sustancial a la concepción o el diseño del estudio o a la recolección, análisis o interpretación de los datos; han participado en la redacción del artículo o en la revisión crítica de su contenido intelectual; han aprobado la versión final del manuscrito; y son capaces de responder respecto de todos los aspectos del manuscrito de cara a asegurar que las cuestiones relacionadas con la veracidad o integridad de todos sus contenidos han sido adecuadamente investigadas y resueltas.
Bibliografía
1. American Cancer Society [Internet]. Key Statistics for Acute Myeloid Leukemia. [citado el 17 de diciembre de 2021]. Disponible en: cancer.org/cancer/acute-myeloid-leukemia/about/key-statistics.html
2. Palmieri R, Paterno G, De Bellis E y col. Therapeutic Choice in Older Patients with Acute Myeloid Leukemia: A Matter of Fitness. Cancers. 2020; 12(1):120.
3. National Comprehensive Cancer Network Guidelines [Internet]. Acute Myeloid Leukemia, version 1.2022 [citado el 18 de diciembre de 2021]. Disponible en: https://www.nccn.org/professionals/physician_gls/pdf/aml.pdf
4. Döhner H, Estey E, Grimwade D y col. Diagnosis and management of AML in adults: 2017 ELN recommendations from an international expert panel. Blood. 2017; 129(4):424-447.
5. Dombret H, Seymour JF, Butrym A y col. International phase 3 study of azacitidine vs conventional care regimens in older patients with newly diagnosed AML with >30% blasts. Blood. 2015; 126(3):291-299.
6. Ballesteros-Ramírez R, Quijano S, Solano J et al. Influence of Dose Intensity in Consolidation with HIDAC and Other Clinical and Biological Parameters in the Survival of AML. J Cancer Epidemiol. 2020; 2020:8021095.
7. Miyamoto T, Sanford D, Tomuleasa C et al. Real-world treatment patterns and clinical outcomes in patients with AML unfit for first-line intensive chemotherapy. Leuk Lymphoma. 2022; 63(4): 928-938.
8. Labrador J, Martínez-Cuadrón D, de la Fuente A et al. Azacitidine vs. Decitabine in Unfit Newly Diagnosed Acute Myeloid Leukemia Patients: Results from the PETHEMA Registry. Cancers (Basel). 2022; 14(9):2342.
9. Sociedad Argentina de Hematología [Internet]. Acute Leukemias, 2019 [citado el 18 de octubre de 2022]. Disponible en: http://www.sah.org.ar/docs/2019/Leucemias_Agudas.pdf
10. National Comprehensive Cancer Network Guidelines [Internet]. Acute Myeloid Leukemia, version 3.2022 [citado el 13 de enero de 2023]. Disponible en: https://www.nccn.org/professionals/physician_gls/pdf/aml.pdf
11. Sociedad Chilena de Hematología [Internet]. Myeloblastic Leukemias, 2017 [citado el 19 de octubre de 2022]. Disponible en: https://www.sochihem.cl/bases/arch1730.pdf
12. Rausch CR, DiNardo CD, Maiti A et al. Venetoclax Dosing in Combination with Antifungal Agents: Real World Experience in Patients with Acute Myeloid Leukemia. Blood 2019; 134 (Supplement_1): 2640.